1、环保催化技术-领域介绍
公司主要围绕工业有机废气净化、高浓难降解有机废水处理、禁/限用催化剂材料的替代、气体净化等研究开发的贵金属催化材料在环保催化技术中具有广泛地应用,已成功开发出PVC无汞催化剂、室温催化氧化催化剂、湿式氧化催化剂、催化燃烧催化剂等环保催化材料。同时围绕研制的催化材料开发出系列环保催化工艺技术,具备从小试、中试到工程化的全流程开发能力,助力碳中和、能源转型、新材料开发和化学工业的高质量发展。
2、环保催化及技术
我司开发的贵金属催化材料及技术主要有:
公司主要围绕工业有机废气净化、高浓难降解有机废水处理、禁/限用催化剂材料的替代、气体净化等研究开发的贵金属催化材料在环保催化技术中具有广泛地应用,已成功开发出PVC无汞催化剂、室温催化氧化催化剂、湿式氧化催化剂、催化燃烧催化剂等环保催化材料。同时围绕研制的催化材料开发出系列环保催化工艺技术,具备从小试、中试到工程化的全流程开发能力,助力碳中和、能源转型、新材料开发和化学工业的高质量发展。
(1)PVC绿色合成无汞催化剂
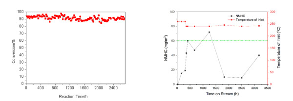
1)金基无汞催化剂,催化活性高,稳定性好,已经应用于万吨级工业转化器。催化剂性能达到国内领先水平。

2)铜基无汞催化剂,稳定性好,完成侧线评价,正在进行万吨级工业转化器的试用。催化剂性能达到国际领先水平。

(2)室温催化氧化催化剂
1)除甲醛催化剂,室温下即可将甲醛催化氧化为二氧化碳和水,已应用于空气净化器、车载净化器。



2)CO消除催化剂,室温下即可催化CO转化为二氧化碳,性能处于国内领先水平,得到了国家官方机构检验合格报告。



(3)催化燃烧催化剂
1)脂肪烃废气净化催化剂,废气有机成分的去除率≥95%。催化剂的特点:
- 高催化活性;
- 热稳定性好,最高耐温750℃;
- 耐水性好,废气含水10~20%。

2)涂装废气净化催化剂,催化活性高,适宜风量大,浓度低(≤300mg/m3)的涂装废气。特点:
- 装载量更小,成本更低
- 寿命长,抗毒性强
- 转化效率 >97%
- 长期工作温度200~700 oC

3)工业有机废气催化剂,催化活性高,寿命长,适用于含氧有机物(酯、酮、醛、醚)的催化燃烧。


(4)湿式催化氧化催化剂
柱状颗粒催化剂,催化活性高,稳定性好。广泛用于催化湿式氧化废水处理系统,通过液相催化湿式氧化技术可有效处理难降解有毒 CODCr 组分,有机氮化合物,氨,硫化合物和有机氯化物等。该废水处理催化剂适用于处理CODCr=5,000~100,000mg/L的精细化工废水,COD 去除率大于 80%。此外,该催化剂适用于活性污泥法的预处理系统。

